CommaSil® Liquid Chromatography (LC) Columns
CommaSil® HPLC Columns utilize ultra-pure spherical and fully porous silica, coupled with mature and stable surface bonding technology and a unique double end-capping manufacturing process. Strict adherence to quality control standards ensures outstanding stability and reproducibility in every batch. This series of columns encompasses reversed-phase, normal phase, and special-purpose columns to cater to diverse analysis requirements.
Features:
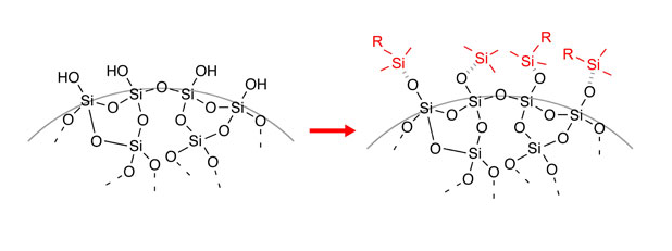
● Unique double end-capping technology, maximumly eliminates silicon hydroxyl residue.
● Low metal ions residue, optimize tailing of alkaline substances.
● Good reproducibility, long lifespan, and high cost-effectiveness.
● High column efficiency, high mechanical strength and high performance.
● Excellent lot-to-lot consistency.
CommaSil® HPLC Columns are packed with ultra-pure spherical and totally porous silica with less than 10 ppm metal content. The high purity of the silica improves the chromatographic performance and reduces the tailing that can occur during the separation of basic compounds due to non-specific adsorption.
The silica stability of CommaSil® HPLC Columns is achieved through a series of stringent quality control measures, including rigorous screening of raw materials, standardization of manufacturing processes and stringent quality inspection of finished products.
These measures ensure the silica lot-to-lot consistency and give the user greater confidence in the reliability and reproducibility of the columns in their experiments, thus ensuring the accuracy and reliability of the results.
CommaSil® HPLC Columns incorporate advanced surface bonding and end-capping technology, which offers significant advantages in product design and manufacturing. Through advanced surface bonding technology, the packing surfaces of the columns can be precisely chemically modified to introduce specific functional or functional groups to achieve selective adsorption and separation of the analyte, thus improving the accuracy and efficiency of the analyses.
Meanwhile, the application of end-capping technology can effectively enhance the stability and durability of the column, extend its service life, and reduce the degradation and failure caused by the activity of the packing surface. The integration of these advanced technologies renders the CommaSil® series exceptional in HPLC analysis, offering users reliable and efficient chromatographic solutions.
Gas Chromatography (GC) columns
CommaSil®Gas Chromatography Columns, performing test strictly for each GC column, have the advantages of high column efficiency, stable product performance, and high sensitivity. CommaSil®GC Columns are widely used in petrochemical, environmental protection, medicine, food, health and other fields.
CommaSil®Gas Chromatography Columns, performing test strictly for each GC column, have the advantages of high column efficiency, stable product performance, and high sensitivity. CommaSil®GC Columns are widely used in petrochemical, environmental protection, medicine, food, health and other fields.






